欢迎使用金字塔普通技术服务论坛,您可以在相关区域发表技术支持贴。
我司技术服务人员将优先处理 VIP客服论坛 服务贴,普通区问题处理速度慢,请耐心等待。谢谢您对我们的支持与理解。


金字塔客服中心 - 专业程序化交易软件提供商金字塔软件金字塔软件问题提交 → K线与数据不对应是怎么会事?

   

欢迎使用金字塔普通技术服务论坛,您可以在相关区域发表技术支持贴。
我司技术服务人员将优先处理 VIP客服论坛 服务贴,普通区问题处理速度慢,请耐心等待。谢谢您对我们的支持与理解。    


  共有3275人关注过本帖树形打印复制链接

主题:K线与数据不对应是怎么会事?

帅哥哟,离线,有人找我吗?
雪球
  1楼 | 信息 | 搜索 | 邮箱 | 主页 | UC


加好友 发短信
等级:蜘蛛侠 帖子:1089 积分:0 威望:0 精华:0 注册:2013/11/4 11:07:43
K线与数据不对应是怎么会事?  发帖心情 Post By:2014/6/24 18:17:18 [只看该作者]

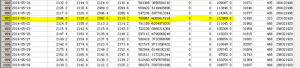
下图是日K线数据及对应的日线数据,都是5月21日的。理应一样但实际不一样,请问老师是什么原因?

图片点击可在新窗口打开查看此主题相关图片如下:捕获.png20140521a.png
图片点击可在新窗口打开查看

图片点击可在新窗口打开查看此主题相关图片如下:捕获.png20140521.png
图片点击可在新窗口打开查看

 回到顶部
帅哥哟,离线,有人找我吗?
雪球
  2楼 | 信息 | 搜索 | 邮箱 | 主页 | UC


加好友 发短信
等级:蜘蛛侠 帖子:1089 积分:0 威望:0 精华:0 注册:2013/11/4 11:07:43
  发帖心情 Post By:2014/6/25 6:05:47 [只看该作者]

K图中的高低点似乎都有类似情况 ,K图显示数据偏低了。奇怪的是另一框架iF00的日k图显示数据又好好的!

 回到顶部
帅哥哟,离线,有人找我吗?
雪球
  3楼 | 信息 | 搜索 | 邮箱 | 主页 | UC


加好友 发短信
等级:蜘蛛侠 帖子:1089 积分:0 威望:0 精华:0 注册:2013/11/4 11:07:43
  发帖心情 Post By:2014/6/25 6:19:23 [只看该作者]

同一框架内,不同窗格中同品种出现相同时间的K线高低点不同!请问老师这金字塔到底怎么了?


图片点击可在新窗口打开查看此主题相关图片如下:捕获.pnggf.png
图片点击可在新窗口打开查看


 回到顶部
帅哥哟,离线,有人找我吗?
瑟郎
  4楼 | 信息 | 搜索 | 邮箱 | 主页 | UC


加好友 发短信
等级:新手上路 帖子:74 积分:0 威望:0 精华:0 注册:2013/8/7 9:04:17
  发帖心情 Post By:2014/6/25 7:21:22 [只看该作者]

你没看到品种名称前有个S符号吗,那是表示你启用复权功能了。

 回到顶部
帅哥哟,离线,有人找我吗?
雪球
  5楼 | 信息 | 搜索 | 邮箱 | 主页 | UC


加好友 发短信
等级:蜘蛛侠 帖子:1089 积分:0 威望:0 精华:0 注册:2013/11/4 11:07:43
  发帖心情 Post By:2014/6/25 8:08:57 [只看该作者]

哦原来这样,谢谢。复权与不复权哪个计算出的均线更符合实际?

 回到顶部
帅哥哟,离线,有人找我吗?
FexTel
  6楼 | 信息 | 搜索 | 邮箱 | 主页 | UC


加好友 发短信
等级:超级版主 帖子:5960 积分:0 威望:0 精华:2 注册:2014/6/12 11:29:04
  发帖心情 Post By:2014/6/25 8:49:56 [只看该作者]

1,首先你了解下复权的含义(添补连续合约跳空产生的缺口)

 

一般情况下使用复权后数据测试或计算更符合实际,具体看你个人要求



金字塔—专业程序化交易量化投资平台

产品部

-----------------------------------------------------------

欢迎您参加我公司的技术培训,具体培训需求请发邮件到service@weistock.com

您的宝贵建议或者投诉,请发往邮箱:weiwei@weistock.com
 回到顶部
帅哥哟,离线,有人找我吗?
雪球
  7楼 | 信息 | 搜索 | 邮箱 | 主页 | UC


加好友 发短信
等级:蜘蛛侠 帖子:1089 积分:0 威望:0 精华:0 注册:2013/11/4 11:07:43
  发帖心情 Post By:2014/6/25 9:40:10 [只看该作者]

谢谢。因为是用连续合约,计算均线,复权与不复权结果不一样。好像复权均线值小些。

 回到顶部